Last visit was: 19 Dec 2025, 01:19 It is currently 19 Dec 2025, 01:19

Close

GRE Prep Club Daily Prep

Thank you for using the timer - this advanced tool can estimate your performance and suggest more practice questions. We have subscribed you to Daily Prep Questions via email.

Customized
for You

we will pick new questions that match your level based on your Timer History

Track
Your Progress

every week, we’ll send you an estimated GRE score based on your performance

Practice
Pays

we will pick new questions that match your level based on your Timer History

Not interested in getting valuable practice questions and articles delivered to your email? No problem, unsubscribe here.

Close

Request Expert Reply

Confirm Cancel
User avatar
Retired Moderator
Joined: 07 Jun 2014
Posts: 4815
Own Kudos [?]: 11895 [10]
Given Kudos: 0
GRE 1: Q167 V156
WE:Business Development (Energy and Utilities)
Send PM
avatar
Manager
Manager
Joined: 12 Jan 2016
Posts: 142
Own Kudos [?]: 217 [1]
Given Kudos: 0
Send PM
avatar
Manager
Manager
Joined: 23 Jan 2016
Posts: 133
Own Kudos [?]: 211 [2]
Given Kudos: 0
Send PM
Retired Moderator
Joined: 10 Apr 2015
Posts: 6218
Own Kudos [?]: 12576 [0]
Given Kudos: 136
Send PM
Re: GRE Math Challenge #15 - If one number is chosen at random [#permalink]
1
rapsjade wrote:
Any number that is a multiple of both 8 and 2 is a multiple of 8. Because of the repetitive pattern of multiple of 8 among numbers, it should not make a difference whether we take 1000 as a sample or 10. There is one multiple of 8 between 1 and 10. so the probability is 1/8


Be careful - the part in green isn't true.
If the question were about the first 10 positive integers, then the probability would be 1/10, since only 1 of the first ten positive integers is divisible by 8 (that integer being 8)


The integers from 1 to 1000 inclusive have a nice feature:
1, 2, 3, 4, 5, 6, 7, 8, ___ 9, 10, 11, 12, 13, 14, 15, 16,___ 17, 18, 19, 20, 21, 22, 23, 24, ___ 25, 26, ...

As we can see, in every batch of 8 integers, exactly 1 is divisible by 8.
This patter continues all the way to 1000.
We have: ...___985, 986, 987, 988, 989, 990, 991, 992 ___ 993, 994, 995, 996, 997, 998, 999, 1000
So, all of our batches have exactly 8 integers.
As such, we can conclude that the probability is 1/8 that a selected number is divisible by 8

However, in the numbers from 1 to 10 inclusive, we have: 1, 2, 3, 4, 5, 6, 7, 8, ___ 9, 10
Here each batch does not have exactly 8 integers
So, we cannot conclude that the probability is 1/8 that a selected number is divisible by 8

Cheers,
Brent
avatar
Intern
Intern
Joined: 02 Jul 2016
Posts: 25
Own Kudos [?]: 18 [0]
Given Kudos: 0
Send PM
Re: GRE Math Challenge #15 - If one number is chosen at random [#permalink]
125/1000

The best way to do this is to take all multiples of 8 till 125, as those will directly be divisible by 2 and uve got your answer.
avatar
Intern
Intern
Joined: 13 Sep 2016
Posts: 1
Own Kudos [?]: 0 [0]
Given Kudos: 0
Send PM
Re: GRE Math Challenge #15 - If one number is chosen at random [#permalink]
Hello,

Small doubt,
I had entered the value 0.125 instead of 1/8. Would that be a problem ?

Thanks :)
avatar
Intern
Intern
Joined: 17 Jan 2017
Posts: 1
Own Kudos [?]: 0 [0]
Given Kudos: 0
Send PM
Re: GRE Math Challenge #15 - If one number is chosen at random [#permalink]
the general rule to find number of terms is ((last term - first term)/difference between two consecutive terms) + 1 , so in our example the solution is ;
(1000-8)/8 + 1 = 124 + 1 = 125 terms
probability = 125/1000
avatar
Intern
Intern
Joined: 02 Sep 2019
Posts: 2
Own Kudos [?]: 0 [0]
Given Kudos: 0
Send PM
Re: GRE Math Challenge #15 - If one number is chosen at random [#permalink]
how is it divided by 8
User avatar
Manager
Manager
Joined: 19 Nov 2018
Posts: 102
Own Kudos [?]: 160 [0]
Given Kudos: 0
Send PM
Re: GRE Math Challenge #15 - If one number is chosen at random [#permalink]
1
To me, this question is testing two things.
1) If you know how to find the lowest common multiple (LCM) and how to use it
2) If you know how to find the probability of an event


1) Finding LCM and using it

We are given 2 and 8, the LCM is 8.
Once you have found the LCM you can increment by that number to find all the common multiples for a series.
So for a series running from 1-1000, all of the common multiples of 2 and 8, will be multiples of 8
Divide 1000 by 8 and you get 125.
That's how many numbers in the series are multiples of 8, and therefore also multiples of both 2 and 8.


2) Finding probability of event

To find the probability we divide the number of outcomes that fulfill some given criteria by the total number of outcomes

P(2 and 8) = 125/1000

. we can divide both 125 and 1000 by 10, or in other words, move the decimal place left by one space for both and you get

P(2 and 8) = 12.5/100

anything divided by 100 is the same thing as "per cent" (literally per 100), so

P(2 and 8) = 12.5%

which is the same as 1/8. You can multiply 12.5 by 8 to see that this is true (the product is 100).


- Other approach
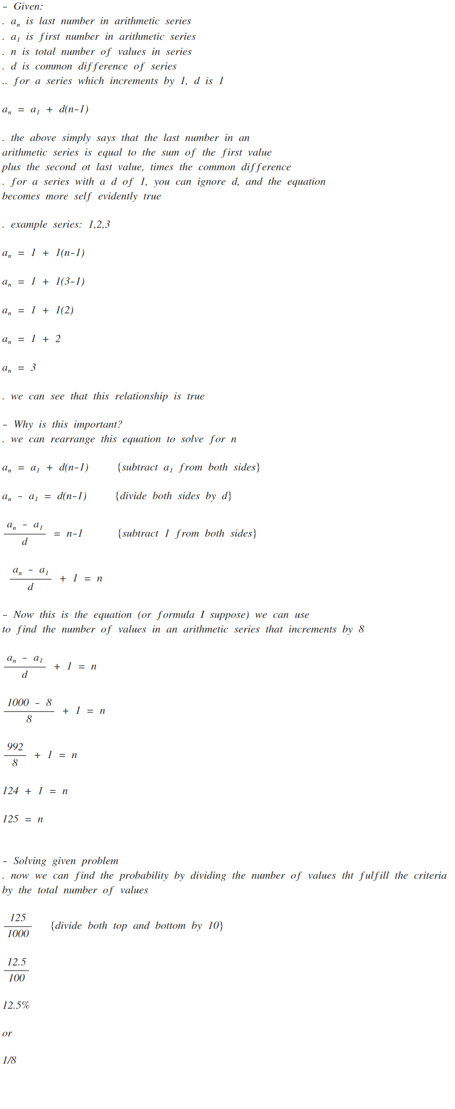
. As hamaireh73 pointed out you can use a formula for finding the number of values in an arithmetic series.
. if anyone would like a refresher on the derivation of that formula, and would like to see how it's applied here, I've attached a picture showing exactly that
. fair warning, some may find it tedious
Attachments

daum_equation_1573051270741.png
daum_equation_1573051270741.png [ 223.79 KiB | Viewed 10557 times ]

avatar
Retired Moderator
Joined: 16 Sep 2019
Posts: 187
Own Kudos [?]: 288 [1]
Given Kudos: 0
Send PM
Re: GRE Math Challenge #15 - If one number is chosen at random [#permalink]
1
Any number that is a multiple of 8 will also be a multiple of 2 as 8 = \(2^3\)
So, we need to find the number of integers divisible by 8 in the first 1000 positive integers = 125
Probability = \(\frac{125}{1000}\) = \(\frac{1}{8}\)
sandy wrote:
If one number is chosen at random from the first 1000 positive integers,then what is the probability that the number is a multiple of 2 and 8?

Show: :: Answer
1/8
User avatar
Intern
Intern
Joined: 30 Mar 2020
Posts: 27
Own Kudos [?]: 26 [0]
Given Kudos: 0
WE:Research (Health Care)
Send PM
Re: GRE Math Challenge #15 - If one number is chosen at random [#permalink]
what about 4?

4 is a multiple of 2.
Verbal Expert
Joined: 18 Apr 2015
Posts: 34212
Own Kudos [?]: 40621 [0]
Given Kudos: 26647
Send PM
Re: GRE Math Challenge #15 - If one number is chosen at random [#permalink]
1
Expert Reply
we need to find the number of integers divisible by 8 in the first 1000 positive integers = 125

Hope now is more clear.

Regards
User avatar
Intern
Intern
Joined: 30 Mar 2020
Posts: 27
Own Kudos [?]: 26 [0]
Given Kudos: 0
WE:Research (Health Care)
Send PM
Re: GRE Math Challenge #15 - If one number is chosen at random [#permalink]
I understand now. If it's not divisible by 8, then it won't be divisible by 2. We need numbers that are both divisible by 8 AND 2.
User avatar
GRE Prep Club Legend
GRE Prep Club Legend
Joined: 07 Jan 2021
Posts: 5684
Own Kudos [?]: 81 [0]
Given Kudos: 0
Send PM
Re: GRE Math Challenge #15 - If one number is chosen at random [#permalink]
Hello from the GRE Prep Club BumpBot!

Thanks to another GRE Prep Club member, I have just discovered this valuable topic, yet it had no discussion for over a year. I am now bumping it up - doing my job. I think you may find it valuable (esp those replies with Kudos).

Want to see all other topics I dig out? Follow me (click follow button on profile). You will receive a summary of all topics I bump in your profile area as well as via email.
Prep Club for GRE Bot
Re: GRE Math Challenge #15 - If one number is chosen at random [#permalink]
Moderators:
GRE Instructor
135 posts
GRE Forum Moderator
37 posts
Moderator
1141 posts
GRE Instructor
234 posts
Moderator
40 posts
GRE Forum Moderator
125 posts

Powered by phpBB © phpBB Group | Emoji artwork provided by EmojiOne