Last visit was: 14 Dec 2025, 21:38 It is currently 14 Dec 2025, 21:38

Close

GRE Prep Club Daily Prep

Thank you for using the timer - this advanced tool can estimate your performance and suggest more practice questions. We have subscribed you to Daily Prep Questions via email.

Customized
for You

we will pick new questions that match your level based on your Timer History

Track
Your Progress

every week, we’ll send you an estimated GRE score based on your performance

Practice
Pays

we will pick new questions that match your level based on your Timer History

Not interested in getting valuable practice questions and articles delivered to your email? No problem, unsubscribe here.

Close

Request Expert Reply

Confirm Cancel
Verbal Expert
Joined: 18 Apr 2015
Posts: 34179
Own Kudos [?]: 40604 [1]
Given Kudos: 26641
Send PM
Verbal Expert
Joined: 18 Apr 2015
Posts: 34179
Own Kudos [?]: 40604 [0]
Given Kudos: 26641
Send PM
User avatar
Intern
Intern
Joined: 07 May 2020
Posts: 20
Own Kudos [?]: 19 [0]
Given Kudos: 0
Send PM
Verbal Expert
Joined: 18 Apr 2015
Posts: 34179
Own Kudos [?]: 40604 [0]
Given Kudos: 26641
Send PM
Re: If 3/m+1/m + 1 [#permalink]
Expert Reply
is it difficult to post the reply as text ??
User avatar
Intern
Intern
Joined: 07 May 2020
Posts: 20
Own Kudos [?]: 19 [0]
Given Kudos: 0
Send PM
Re: If 3/m+1/m + 1 [#permalink]
1
Carcass wrote:
is it difficult to post the reply as text ??


Unfortunate, I have difficulty to use the functional buttons (division of square roots, for example)
I would like to see a user guide if there is any
Verbal Expert
Joined: 18 Apr 2015
Posts: 34179
Own Kudos [?]: 40604 [0]
Given Kudos: 26641
Send PM
Re: If 3/m+1/m + 1 [#permalink]
1
Expert Reply
Manager
Manager
Joined: 18 Jan 2021
Posts: 81
Own Kudos [?]: 20 [1]
Given Kudos: 103
Send PM
Re: If 3/m+1/m + 1 [#permalink]
1
Mari wrote:
Carcass wrote:
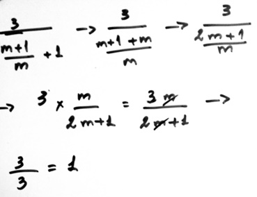
If \(\frac{3}{\frac{m+1}{m} + 1 }\) , what is the value of m ?

A. -2

B. -1

C. 0

D. 1

E. 2


How can you cancel m if there is a 1 in addition to the denominator?
Verbal Expert
Joined: 18 Apr 2015
Posts: 34179
Own Kudos [?]: 40604 [0]
Given Kudos: 26641
Send PM
Re: If 3/m+1/m + 1 [#permalink]
Expert Reply
If \(\frac{3}{\frac{m + 1}{m} + 1} = 1\), then m must equal

\(3 = \frac{m + 1}{m} + 1\)
\(2 = \frac{m + 1}{m}\)
\(2m = m + 1\)
m = 1
Prep Club for GRE Bot
Re: If 3/m+1/m + 1 [#permalink]
Moderators:
GRE Instructor
135 posts
GRE Forum Moderator
37 posts
Moderator
1141 posts
GRE Instructor
234 posts
Moderator
40 posts
GRE Forum Moderator
125 posts

Powered by phpBB © phpBB Group | Emoji artwork provided by EmojiOne